在论文写作中,一般要求给数学公式进行编号,并且格式设置为右编号。数学公式的输入需要借助功能强大的MathType数学公式编辑器软件,本教程将详解如何在论文写作中插入右编号。

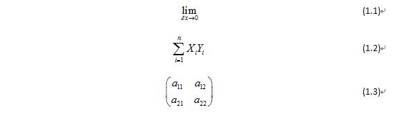
数学公式右编号效果
下面以office 2007文档为例,讲解论文中如何插入右编号。
步骤一 设置编号样式
点击office里面的MathType选项卡,选择“格式化公式”按钮,用户可以根据自己的需求设置编号的样式。以下信息分别是章编号、节编号、公式编号、括号样式、分隔符样式。

格式化公式编号样式对话框
步骤二 输入公式,自动生成右编号
点击MathType选项卡->右编号,即可打开MathType软件,用户可在编辑框内输入公式。

office文档中的“右编号”按钮
步骤三 将公式更新到文档中
公式编辑完成后,点击文件->更新为XXX文档(XXX文档为当前编辑的文档名称),这样公式就更新到了限定的文档中。

MathType保存公式界面
在论文写作中,对数学公式进行右编号是最基本的操作,只需先对编号设置,然后点击“右编号”按钮,右编号将自动生成。
……