使用MathType公式编辑器编辑公式时,在行列式的排版里面有需要注意的地方,本教程将详解行列式的排版规则。
在行列式中,横排的称为“行”,竖排的称为“列”。其行数与列数是想等,行列式的表示形式为|an|。行列式的符号是两根长的直线“||”,它的长度上齐第一行的字头,下齐末一行的字角。在行列式符号里面的字符称为“元素”,外面的字符称为“系数”。
在行列式排版中,必须把行与列分清楚,间距要空的均匀一致。行与行之间是空1/2个字高,列与列之间一般空1个字空。元素的行列必须上下左右对齐,系数必须排列在上下行数的中间与等号对齐。
1.行列式是根据行数列数分类的
二行二列组成的行列式,称为二阶行列式。如下图所示

N列n行组成的行列式,称为n阶行列式,又称多阶行列式。如下图所示

2.行列式排版格式的注意事项
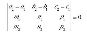
(1)行列式符号线内的元素必须上下左右对齐,符号线外的系数排在上下居中,如下图所示:

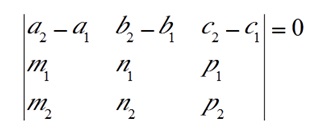
不可排成:

也不可排成:

不能排成:

(3)行列书元素是数学时,应将个位对齐。如:

不能排成:

……