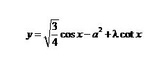
用户在使用MathType数学公式编辑器时,会遇到关于分式与根式的排版问题,处理不好导致整个版面不美观,那如何才能处理好这些分式与根式呢?本文以一个公式来举例说明MathType中如何轻松输入分式与根式。

步骤一 启动MathType公式编辑器软件。点击插入->对象。
步骤二 输入根式。点击工具栏上的根式与分式的方框,我们可以直接通过根号与分号的方框完成输入。

步骤三 输入平方,平方可以通过工具栏上面的按钮完成输入,或者我们可以使用快捷键Ctrl+H。
步骤四 输入特殊符号,点击菜单栏中的编辑->插入符号,即可打开特殊符号对话框,选择需要输入符号。

……