分式在原则上不作分拆转行,但限于版面尺寸而必须转行时,在MathType编辑器中输入带有分式的叠式时,对分式的转行拆分可采取以下几种方法:
1.分子项数较多、较长的转行分拆。如下图的分式:

可以分拆转行成:

也可采用“同分母”的形式进行分拆转行:

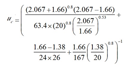
2.分母项数较多、较长的转行分拆,如下图的分式:

也可改成下列“除法“形式进行转行分拆:

或者改成”负指数“形式进行分拆转行:

改为”负指数“形式后,分子“1”可以不排,如果分子为其他数字,则分子数字仍排在“{”号的前面,并在分子数后面加上乘号。
3.分子和分母的项数都是比较多、较长的转行分拆,如如下图的分式:

上式也可采用“除法”或“负指数”的形式进行分拆转行。
采用“除法”形式可将分子及分母分别用大括号包括,再在分子与分母之间加上“/”(除号)。
采用“负指数”形式基本上是在除法形式的基础上,把“/”改成“×”号,并在分母后边的“}“之后加上角-1(负指数)。
……