网站首页/办公软件列表/内容

MathType 根式的分拆转行技巧

办公软件2024-01-11阅读
MathType是强大的数学公式编辑器,与常见的文字处理软件和演示程序配合使用,能够在各种文档中加入复杂的数学公式和符号,可用在编辑数学试卷、书籍、报刊、论文、幻灯演示等方面,是编辑数学资料的得力工具。

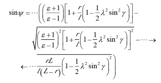
MathType编辑的根式基本上以不作分拆转行为原则,若根式超长而需要分拆转行时,可把根号线割断,然后按照常规将根式分拆转行。为了使根式分拆有所标识,应在所切割的跟号线上段的末尾加排“…→”标志,根号线下端的开头加排“←…”标识,如以下根式:

根式

也可以用数学“分指数”的方法来分拆根式。将“根号形式”变换为“指数形式”的通式是:

短根式

其指数形式为:

指数

分指数n/m的分子n为“方指数”,分母m为“根指数”。根据这个指数原理,就可以对超长根式变换形式进行分拆转行。如以上的根式可以拆分转行为:

拆分


……

相关阅读