使用MathType数学公式编辑器软件编辑公式时,需要注意的一个问题是排版。当一个单行数式里面集聚了总和号、极限、最大值、连乘号等时,排版问题就多了起来,本文将带你一起扒一扒复杂单行数式的排列规则。

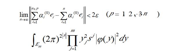
极限“lim”用正体小写英文字母,总和“∑”和连乘号“∏”用正体大写希腊字母。所有总和号、极限、连乘号、最大值、最小值等,t它们的上下限应该在符号的居中位置,各个符号的上下限之间严格分清,与右面或左面的文字隔开,不得上下交叉,混在一起。如:

又如:

不可能排成:

以上的单行数式混合了总和号、极限、连乘号、最大值、最小值等元素,看似比较复杂,其实掌握起来并不难。
……