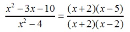
在数学中经常会出现在等式中约去相同因式的要求,并且需要在等式上模仿出约去的标记。在纸张上使用铅笔来做出约去因式的操作是相当的简单事情,但在电脑中要模仿出约去的标记却是另一种情况。本小节将演示如何在MathType中做出这种效果,我们假定使用的等式如下图所示:

要约去相同因式,我们将使用到MathType的“约去”划线模板。
1.首先创建分式,在输入“=”好后插入第二个分式模板:

2.在输入数字前,在
模板中选中划线模板,如下图所示:

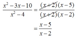
3.输入划线模板,在分子中输入第一个分式,按下Tab键退出划线模板,然后输入第二个分子,如下图所示:

4.当你完成第二个分式的输入时,点击回车键换行。输入第二个等号“=”,然后输入分式。为了使等式在“=”处对齐,在格式菜单中选择在等号处对齐命令,最终等式效果如下图所示:

……