网站首页/办公软件列表/内容

如何使MathType大括号公式对齐

办公软件2024-01-11阅读
MathType是强大的数学公式编辑器,与常见的文字处理软件和演示程序配合使用,能够在各种文档中加入复杂的数学公式和符号,可用在编辑数学试卷、书籍、报刊、论文、幻灯演示等方面,是编辑数学资料的得力工具。

我们可以使用大括号模板,并在大括号下编辑公式、矩阵函数,此时会对对齐方式有要求,本教程以给出的公式为例讲解使MathType大括号公式对齐的方法。

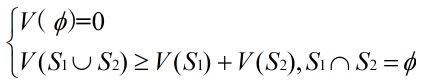
要求:使如下图所示的两个公式上下对齐

含有大括号的公式?
含有大括号的公式示例

首先编辑公式,具体步骤如下:

1.在MathType中编辑大括号。

大括号模板?
选择半边大括号模板

2.选择矩阵模板中的第一行第二个模板。

矩阵模板?
选择一列两行的矩阵模板

3.在大括号内的矩阵中编辑公式。

编辑公式?
用矩阵模板编辑的公式示例

温馨提示:如果对公式对齐方式不满意,可以通过改变矩阵的对齐格式来决定公式对齐方式,具体步骤如下:

1.首先先将光标定位到上面第一个公式的V前,选择格式菜单下的矩阵项,在矩阵子菜单下选择 “更改矩阵”项。

更改矩阵?
在矩阵菜单下选择更改矩阵项

2.在弹出的矩阵对话框中,在“列对齐”方式下选择“左侧”,然后点击确定按钮。

对齐方式?
选择列对齐方式为左侧

3.此时公式就以左对齐的格式显示,我们还可以在矩阵对话框中选择其它的对齐方式,操作方法类似。

左对齐公式?
左侧列对齐的公式示例

……

相关阅读