网站首页/办公软件列表/内容

如何使MathType分段函数居中对齐

办公软件2024-01-11阅读
MathType是强大的数学公式编辑器,与常见的文字处理软件和演示程序配合使用,能够在各种文档中加入复杂的数学公式和符号,可用在编辑数学试卷、书籍、报刊、论文、幻灯演示等方面,是编辑数学资料的得力工具。

在书写论文或者一般的文件时,可能会碰到书写分段函数,利用MathType可以编辑较好看的分段函数。那么该如何对齐MathType编辑的分段函数呢?以下教程讲解使MathType分段函数居中对齐的方法。

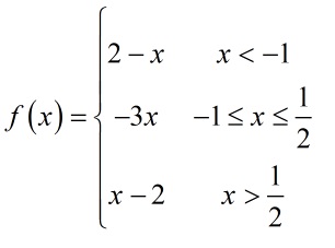
分段函数?
该教程举例的分段函数

以使上图给出的分段函数居中对齐为例讲解具体操作步骤:

1.将光标定位到上面第一个公式的2前,选择“格式”菜单下的“矩阵”命令,在矩阵子菜单下选择 “更改矩阵”。

更改矩阵?
在矩阵子菜单下选择 “更改矩阵”

2.弹出的矩阵对话框,在“列对齐”方式下选择“居中”,然后点击确定按钮。

居中对齐?
选择分段函数列对齐方式为“居中”

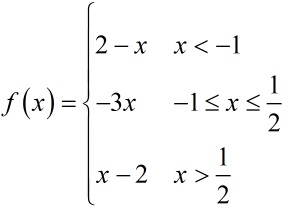
3.此时分段函数以居中对齐显示,如下图所示。

分段函数?
分段函数以“居中”对齐显示

提示:我们还可以在矩阵对话框中选择其它的列对齐方式,甚至还可以改变行对齐方式。



……

相关阅读