网站首页/办公软件列表/内容

MathType如何输入字母上方的黑点

办公软件2024-01-11阅读
MathType是强大的数学公式编辑器,与常见的文字处理软件和演示程序配合使用,能够在各种文档中加入复杂的数学公式和符号,可用在编辑数学试卷、书籍、报刊、论文、幻灯演示等方面,是编辑数学资料的得力工具。

在数学公式中,有很多数学样式需要用MathType公式编辑器来完成,灵活运用MathType上标与下标就可以实现这些数学样式。本节介绍MathType字母黑点的编辑方法。

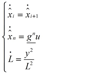
例如输入下面的方程组:

方程组?
含有字母黑点的方程组示例

输入x的步骤如下:

1.打开MathType软件,在括号模板中选择左边大括号,在上标与下标模板中选择中上标模板。

MathType中上标模板?
在上下标模板中选择上标模板

2.将光标放在上标处,在运算符符号中选择合适的黑点来输入。

MathType运算符符号模板?
在运算符符号模板中选择合适的黑点

3.将光标放在下部,在顶线与底线模板中选择帽子模板,输入x。

顶线与底线模板?
在顶线与底线模板中选择帽子模板

4.将光标移到x外面,选择下标模板,输入下标i,至此方程中的x数学样式编辑完成。

上标与下标模板?
选择下标模板输入下标i

提示:此时如果用键盘输入黑点,这个黑点是非常小的,公式保存后基本看不出来,所以一般不用键盘输入黑点。

以上向大家介绍了MathType字母黑点的编辑方法,其实就是MathType上标的运用。很多MathType数学符号的输入方法都不只一种,我们可以选择其中的一种来满足我们的需要,比如弧度符号



……

相关阅读