网站首页/办公软件列表/内容

MathType如何输入量子算符

办公软件2024-01-11阅读
MathType是强大的数学公式编辑器,与常见的文字处理软件和演示程序配合使用,能够在各种文档中加入复杂的数学公式和符号,可用在编辑数学试卷、书籍、报刊、论文、幻灯演示等方面,是编辑数学资料的得力工具。

在物理方面MathType的使用也很频繁,用MathType输入物理符号也很方便,下面介绍用MathType输入量子算符的过程。

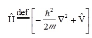
比如哈密顿算符:

物理量子算符?
物理量子算符示例

具体步骤如下:

1.输入H后,在MathType工具栏中选择修饰模板中的帽子模板。

帽子模板?
在修饰模板中选择帽子模板

2.在矩阵模板中选择2行1列模板。

矩阵模板?
选择矩阵模板中的2行1列模板

3.在矩阵的上部选择底线与顶线模板中的双底线模板。

双底线模板?
选择底线模板中的双底线模板

4.选择括号模板中的括号或方括号模板,依次输入,再选择分式模板中的标准分式尺寸输入分式,分子选择杂项符号模板中的普朗克常量,输入后选择下标和上标模板中的上标模板输入平方。

杂项符号模板?
选择杂项符号模板中的普朗克常量

5.选择杂项符号中的nabla算符输入,再依次输入,V的输入可依照H的输入方法。

杂项符号模板?
选择杂项符号模板中的nabla

以上内容向大家介绍了MathType输入量子算符的方法,其实每一个都是MathType模板的组合,并没有太复杂,需要大家对MathType工具栏比较熟悉,并开发思维进行各种组合。



……

相关阅读