网站首页/办公软件列表/内容

MathType 如何对齐公式

办公软件2024-01-12阅读
MathType是强大的数学公式编辑器,与常见的文字处理软件和演示程序配合使用,能够在各种文档中加入复杂的数学公式和符号,可用在编辑数学试卷、书籍、报刊、论文、幻灯演示等方面,是编辑数学资料的得力工具。

作为强大的公式编辑器,MathType为我们的学习、工作带来了极大的便利。比如在写论文时,有了它,就可以轻松就把论文里的公式码完;老师在编写试卷时,利用它,可以快速编写出一份试卷。那么在编写公式时,也不是没有要求的,一般都会有个标准,比如要让几行公式按照一定的顺序对齐,下面就通过举例给大家介绍MathType中对齐公式的技巧。

如下图所示,使用MathType软件中的两行一列矩阵模编版写的公式,不能左对齐,有木有对齐的方法?

大括号公式?
在MathType中编辑的大括号公式示例

具体解决方法如下:

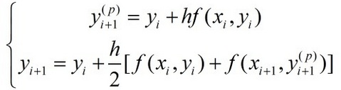
步骤一 打开MathType软件,借助其中的公式模板进行编辑,编写的公式如下图所示。编写过程中会用到左半边的大括号模板、上下角标模板、分数模板和中括号模板等,编写过程中要按部就班来,跳过一个模板就会导致编写有误。

编写公式?
在MathType中编写的公式示例

步骤二 因为该公式是借助矩阵模板进行编写的,所以可以借助调整矩阵对齐方式来进行调整。用鼠标选中两行公式,此时公式呈蓝色高亮显示,单击上方菜单栏“格式”菜单,在其下拉选项选择“矩阵”——“更改矩阵”选项,如下图所示。

更改矩阵?
在格式菜单下选择更改矩阵示例

步骤三 执行以上命令后,会打开矩阵对话框,如下图所示,在列对齐方式中选择“左侧”,然后点击确定。

列对齐方式?
在矩阵对话框修改列对其方式

步骤四 执行以上操作后,大括号公式就会以左侧为标准进行对齐,最终效果如下图所示。

公式左对齐?
修改后的公式左对齐示例

以上就是给大家介绍的在MathType中编辑公式且使公式按一定方式对齐的方法,像大括号公式都是利用矩阵模板输入的,其实就是改变矩阵对其方式,学了以上内容,大家已经掌握了方法。



……

相关阅读