在我们的日常工作中,经常会使用和编辑到数学公式,mathtype作为一个专业的数学公式编辑器,有着强大的功能,能够轻松地在文档中输入复杂的数学、物理公式和符号!是理科生必备工具!
那么我们该怎么使用这个软件编辑数学公式呢。接下来小编就带大家了解如何使用mathtype7来编辑数学公式。
首先打开公式编辑器,进行公式编辑。首先我们需要熟悉一下编辑模板上有哪些公式,这些公式的位置在哪里。熟悉了之后再进行公式编辑的时候会更流畅 自如。

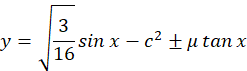
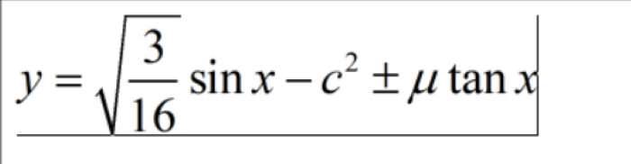
然后开始公式编辑,在这里我以

为例。接下来就是向大家讲解如何使用mathtype7来编辑这个公式。
1、先打出“y=”
2、接下来需要找到根号√的位置。选择√工具,然后我们需要在√的里面输入3/16,先找到“-”工具后在相应的位置输入相应的数字。公式模板具体位置如图所示:

3、然后sinx只需要直接输入就可以了,不需要模板。下一步我们要找到的模板是幂函数,点击相应的模板,输入数字2就可。里面的模板里都有一个黑点,黑点的位置就是等会儿需要输入数字的位置。所以这里面需要看清楚黑点的位置。不要选错了。

4、然后需要输入±号,这个公式的模板位置如图所示:

5、下一步是找到希腊字母μ,这个字母的位置如图所示,在这个模板里面基本上都是希腊字母。

6、最后只需要直接输入tanx就行了。让我们看一下最后公式编辑的效果。

这个公式的编辑过程讲述完了。可以看到,除了我讲的这些公式模板,还有很多其它的公式模板,只是我们这次没有使用上。但是使用方法都是一样的。大家可以用鼠标挨个点击看看都有哪些公式模板,记住它们的位置下次使用时候就能得心应手。
总的来说,MathType确实是一款优秀的公式编辑器,操作十分简单,模板量丰富。只要大家熟悉模板位置就能很快地把公式编辑出来。
……