首页/办公软件教程/列表
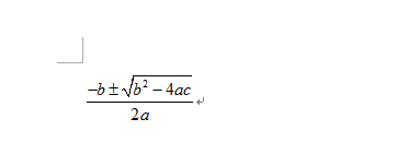
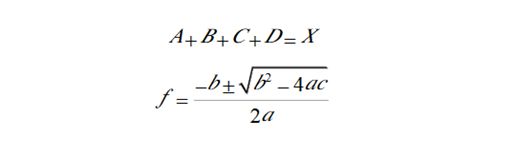
给大家详细说明MathType行列式的排版规则

给大家详细说明MathType行列式的排版规则

2024-01-10
给大家详细说明MathType重叠数式的排版规则

给大家详细说明MathType重叠数式的排版规则

2024-01-10
Word 中如何使用MathType 6.9编辑公式

Word 中如何使用MathType 6.9编辑公式

2024-01-10
如何在word中调整公式大小 运用MathType完成在word中调整公式大小

如何在word中调整公式大小 运用MathType完成在word中调整公式大小

2024-01-10
运用MathType完成在论文中插入右编号

运用MathType完成在论文中插入右编号

2024-01-10
论文中的MathType数学公式如何更改为小四号字体

论文中的MathType数学公式如何更改为小四号字体

2024-01-10
MathType 字母字体的应用、间距空格、居中排列、序号排列、转行分拆

MathType 字母字体的应用、间距空格、居中排列、序号排列、转行分拆

2024-01-10
如何使用MathType数学公式编辑器设置图形标注

如何使用MathType数学公式编辑器设置图形标注

2024-01-10
MathType 在office word中的应用案例图文教程

MathType 在office word中的应用案例图文教程

2024-01-10
MathType 在期刊排版中的应用案例图文教程

MathType 在期刊排版中的应用案例图文教程

2024-01-10
excel如何找出普通鼠标、光电鼠标的单元格

excel如何找出普通鼠标、光电鼠标的单元格

2024-01-10
excel如何把两张表格合成一张

excel如何把两张表格合成一张

2024-01-10
excel表格文字换行的办法

excel表格文字换行的办法

2024-01-10
excel搜索后如何整行复制

excel搜索后如何整行复制

2024-01-10
excel提示文档未保存如何办

excel提示文档未保存如何办

2024-01-10
excel的三个重要概念

excel的三个重要概念

2024-01-10
excel粘贴的内容比复制的内容多,如何回事?

excel粘贴的内容比复制的内容多,如何回事?

2024-01-10
Excel表格输入身份证数字就变了乱码如何办?

Excel表格输入身份证数字就变了乱码如何办?

2024-01-10
Excel工作表中,日期格式5-16与5月16日,它们之间可以迅速切换

Excel工作表中,日期格式5-16与5月16日,它们之间可以迅速切换

2024-01-10
Excel中输入出错,系统会自动提示你,很贴心

Excel中输入出错,系统会自动提示你,很贴心

2024-01-10
Excel中使用填充技巧时,可以多个单元格一起填充,方便快捷

Excel中使用填充技巧时,可以多个单元格一起填充,方便快捷

2024-01-10
Excel表格中,辛辛苦苦输入的内容突然不见了

Excel表格中,辛辛苦苦输入的内容突然不见了

2024-01-10
Excel表格中单元格是否合并,是否换行,你不一定判断正确

Excel表格中单元格是否合并,是否换行,你不一定判断正确

2024-01-10
Excel如何求和?

Excel如何求和?

2024-01-10
Excel行高如何设置?

Excel行高如何设置?

2024-01-10
excel粘贴图标挡住了局部文字,如何使其消失

excel粘贴图标挡住了局部文字,如何使其消失

2024-01-10
明明记得Excel中有“张三李四”,但使用搜索技巧时找不到

明明记得Excel中有“张三李四”,但使用搜索技巧时找不到

2024-01-10
某个学校高一有20个班,在Excel中如何迅速输入班级的名称

某个学校高一有20个班,在Excel中如何迅速输入班级的名称

2024-01-10
如何清除Excel单元格中看不见的字符串

如何清除Excel单元格中看不见的字符串

2024-01-10
Excel求和大全

Excel求和大全

2024-01-10
378/644